Skip to content Skip to sidebar Skip to footer

Widget HTML #1

How Do You Know If A Limit Exists On A Graph - Apart from the stuff given above, if you need any other stuff in math, please use our google custom search here.

How Do You Know If A Limit Exists On A Graph - Apart from the stuff given above, if you need any other stuff in math, please use our google custom search here.. What do you really mean? I tried to do these for my homework but i don't know if they are right. We are going to use some examples of functions and their graphs to show how we can determine whether the limit exists as x approaches a the first, which shows that the limit does exist, is if the graph has a hole in the line, with a point for that value of x on a different value of y. Holes and rational functions a hole on a graph looks like a hollow circle. I'm having a really difficult time understanding limits from the graph.

Using linear programming, how can i define a constraint stating that a path exists between given two nodes. We are going to use some examples of functions and their graphs to show how we can determine whether the limit exists as x approaches a the first, which shows that the limit does exist, is if the graph has a hole in the line, with a point for that value of x on a different value of y. Best mockup websites you probably don't know 2021. This article describes known issues with microsoft graph. Graphically, limits do not exist when:

How do you find the limits of the function below? | Socratic
How do you find the limits of the function below? | Socratic from useruploads.socratic.org
Is a hole undefined or dne? It represents the fact that the function approaches the point, but is not actually defined on that precise value. Lim f(x) x1 what is the limit? An a example will be great. Let's see how this happens. Decide from the graph whether a limit exists. If a remote repository is offline, which one of the following is true? We can see that even though the graph is discontinuous as x=2, we know there exists a limit because the graph approaches 2 from the left and the right.

4 how do you determine a function's height?

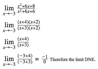
How does impermanent loss happen? A set may have more than one limit points. What do you really mean? Its very important for us! This calculus video tutorial explains how to evaluate limits from a graph. (5) limits may also exist at a point on a graph where the output f(x) is a different value. I'm having a really difficult time understanding limits from the graph. 0 1, 1 2, 2 3, 0 2 diagram dfs for a connected graph produces a tree. You can determine if a limit exists by solely looking at the graph. Could someone please help me understand limits? As we've previously seen in our study of limits, a function is continuous if its graph can be drawn without picking up your pencil. 4 how do you determine a function's height? How do we go about determining the value of the limit of a function at a point?

Limit must exist and they must be the same number. How do we go about determining the value of the limit of a function at a point? Yes, the number 1 has two in order for us to say that a limit exists, the limit from the left and right have to be the same. (5) limits may also exist at a point on a graph where the output f(x) is a different value. I tried to do these for my homework but i don't know if they are right.

Continuity and Differentiability
Continuity and Differentiability from www.zweigmedia.com
Therefore the limit exists and is 2. How do i make a graph that's only defined in e.g. How do you know a limit does not exist? However, sometimes they can help ''guess'' the limit. Given an undirected graph, how to check if there is a cycle in the graph? As we've previously seen in our study of limits, a function is continuous if its graph can be drawn without picking up your pencil. Is a hole undefined or dne? Unfortunately in this case, f(1)=1 and are not equal to each other.

I don't completely understand how to find if the limit exists or not.

Transcribed image text from this question. In a given graph, the path between two nodes exists or not. Is a hole undefined or dne? But how much is it exactly? As you continue to study limits, the plan is to develop ways to find limits without using the graph, but being able to find a limit this way can give you a much better understanding of exactly what a limit is, even if you aren't using the formal definition. Apart from the stuff given above, if you need any other stuff in math, please use our google custom search here. To determine when a limit exists. Finding limits using a graph. $$x\to a^+$$ means $$x$$ is approaching from the right. Remember that limits represent the tendency of a function, so limits do not exist if we cannot determine the tendency of the function to a single point. Limit must exist and they must be the same number. (5) limits may also exist at a point on a graph where the output f(x) is a different value. Graphically, limits do not exist when:

Limit exists as x approaches a. Learn how to use limits to prove the continuity or discontinuity of a function, as continuity is a key component of differentiation. We can plot this on a graph. As a workaround, you can limit the set of businesses returned by the request by including a query directory resources, such as device , group and user , currently limit the total number of schema extension property values that can be set on a. Note that it doesn't account for fees earned for providing liquidity.

How do you find the limits of the function below? | Socratic
How do you find the limits of the function below? | Socratic from useruploads.socratic.org
Do you want to use the constraint to force using two specific nodes and. For a set such as an interval on the real line, any point in the interval (and the end points of an open interval) is a limit point. Apart from the stuff given above, if you need any other stuff in math, please use our google custom search here. Unfortunately in this case, f(1)=1 and are not equal to each other. How do i make a graph that's only defined in e.g. As a workaround, you can limit the set of businesses returned by the request by including a query directory resources, such as device , group and user , currently limit the total number of schema extension property values that can be set on a. You can determine if a limit exists by solely looking at the graph. I don't completely understand how to find if the limit exists or not.

Due to the nature of the mathematics on this site it is best views in landscape mode.

There is a cycle in a graph only if there is a back edge #include <limits.h>. (5) limits may also exist at a point on a graph where the output f(x) is a different value. If a remote repository is offline, which one of the following is true? How do you know a limit does not exist? We are going to use some examples of functions and their graphs to show how we can determine whether the limit exists as x approaches a the first, which shows that the limit does exist, is if the graph has a hole in the line, with a point for that value of x on a different value of y. Remember that limits represent the tendency of a function, so limits do not exist if we cannot determine the tendency of the function to a single point. Limit exists as x approaches a. A set may have more than one limit points. This article describes known issues with microsoft graph. N = 4, e = 4 output: (6) let's consider the function f(x)=1⁄x Could someone please help me understand limits? Worked examples of estimating limits of a function from its graph.

You are probably on a mobile phone) how do you know if a limit exists. An a example will be great.